von madmaxx » 16.11.2008 23:07
Formeleditoren..
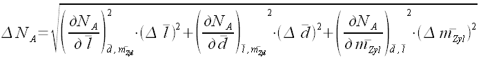
%DELTA%N_A = sqrt {left ( {дN_A} over {д bar l} right )_{bar d, bar m_Zyl}^2 cdot (%DELTA% {bar l})^2+{left ( {дN_A} over {д bar d} right )_{bar l, bar m_Zyl}}^2 cdot (%DELTA% {bar d})^2+{left ( {дN_A} over {д bar m_Zyl} right )_{bar d, bar l}}^2 cdot (%DELTA% {bar m_Zyl})^2}
->
- Dateianhänge
-

- 4_2_2.gif (4.19 KiB) 2753-mal betrachtet